Using Stainless Steel Welded Pipes to Replace Seamless Pipes in Heat Exchangers

Using Stainless Steel Welded Pipes to Replace Seamless Pipes in Heat Exchangers

On this page

Abstract: Heat exchangers are widely used in the chemical, pharmaceutical, and other industrial sectors to transfer energy between heat media, reduce energy consumption, and enhance product quality. This study investigates the feasibility of replacing seamless pipes with stainless steel welded pipes in heat exchanger applications through literature review and performance evaluation. The findings indicate that stainless steel welded pipes demonstrate favorable mechanical properties within the operating temperature range and are capable of withstanding specified levels of pressure and displacement. The tensile strength of the welded joints typically exceeds that of the base material, although their thermal conductivity is slightly lower. Welded pipes offer significant cost advantages while meeting performance requirements. According to the Steel Pressure Vessels standard (GB/T 150–2014), austenitic stainless steel is recommended for design temperatures of ≤900 °C, further supporting its feasibility as a substitute material in heat exchangers. The findings of this study may serve as a valuable reference for future engineering applications.

 

1. Introduction to Seamless Stainless Steel Pipes and Tubes

1.1 Seamless Pipes

Seamless stainless steel pipes are produced through hot rolling or cold drawing processes, resulting in a pipe body without any weld seams. The primary production methods include hot rolling and cold drawing. In hot rolling, a steel billet is heated to a high temperature, pierced to form a hollow shell, and then rolled and cooled to achieve the desired dimensions and shape. The cold drawing process involves pulling the hot-rolled tube at room temperature to improve dimensional accuracy and surface finish.

 

1.1.1 Hot Extrusion Process

In the production of stainless steel seamless pipes, the main extrusion unit employs the hot extrusion method, which ensures product quality while allowing flexible adjustments in product specifications. However, the overall yield rate tends to be relatively low. To improve it, the production process is continuously optimized. For products with higher technical requirements, pre-drilling and hydraulic perforation are employed to enlarge the billet holes. In contrast, cold-processed raw pipes have less stringent requirements, allowing the production method to be chosen based on actual needs. For solid billets used in small-diameter pipes, vertical hydraulic perforators can perform both perforation and extrusion operations. For billets used in medium-sized pipes, small holes may be pre-drilled or expanded using vertical hydraulic perforators, followed by extrusion to form the pipes.

 

1.1.2 Hot Rolling Process

The hot-working characteristics of stainless steel—such as high temperature resistance, corrosion resistance, and hardness—make the rolling process particularly challenging, especially during oblique rolling, which is prone to internal cracking. Through years of industrial practice, various pipe rolling units have been developed, including fully automated rolling units, precision rolling units, periodic rolling units, and three-roll mills. In China, the production of stainless steel pipes using the “oblique rolling and piercing + rolling” process has reached a relatively advanced stage compared to international standards. Currently, oblique rolling is widely employed in China to produce both conventional austenitic stainless steels and the more challenging duplex stainless steels. Thicker pipe walls can be produced using different rolling equipment, such as continuous rolling and oblique rolling units. For cold rolling and cold drawing processes, hot-rolled pipes can be substituted with finished cold-rolled pipes, oversized scrap pipes, or pierced capillary tubes. During cold rolling or drawing, increasing the number of passes can enhance production efficiency, improve yield rates, and reduce costs.

 

1.2 Stainless Steel Welded Pipe

1.2.1 Stainless Steel Pipe Forming Process

The forming process for stainless steel welded pipes mainly includes continuous forming and pressure forming, with advanced production techniques typically applied in continuous forming. Currently, the manufacturing of stainless steel pipes—especially for coal applications—mainly relies on small to medium-sized production units, primarily producing decorative and industrial pipes. Among the available methods, roller continuous forming provides higher material utilization efficiency.

 

1.2.2 Stainless Steel Welded Pipe Welding Process

Common welding methods for stainless steel pipes include tungsten inert gas (TIG) welding and high-frequency (HF) welding, with TIG and HF welding being the most widely used due to their distinct advantages. TIG welding uses tungsten inert gas shielding to ensure high weld quality and excellent penetration, making it widely used in the chemical and food industries. However, its welding speed is relatively low. To improve production efficiency, ongoing research is exploring enhanced techniques such as multi-electrode and multi-pass welding. High-frequency welding is another common technique used in stainless steel pipe production. It provides high welding speeds but poses challenges in removing internal burrs, which limits its applicability in some cases. Laser welding, by contrast, produces smaller, more precise welds while maintaining weld integrity and improving overall efficiency, making it ideal for high-quality stainless steel pipe production. Combined welding technologies integrate multiple welding methods to enhance both quality and efficiency in stainless steel pipe fabrication.

 

2. Experimental Materials and Methods

The materials used in this study include Q235B (B7) and SUS304 stainless steel, the latter being a fully austenitic stainless steel. To ensure the representativeness of the test data, multiple samples of varying sizes were prepared during the performance testing phase. These samples were subsequently tested for welding performance, tensile strength, and thermal conductivity. Spot welding was used to fabricate the welded joints. The sample had a diameter of approximately 5 mm, with a base material diameter of 10 mm and a weld thickness of 1 mm. The weld area accounted for over half of the total sample cross-sectional area. Tensile tests were performed using a universal testing machine with a maximum displacement of 50 mm, employing a three-point bending method and a loading force of 15 N. Thermal conductivity was measured using a thermal conductivity meter within a temperature range of 25–50 °C and a heating rate of 10 °C/min. Austenitic welded pipes with the same chemical composition as the base metal were used in place of stainless steel seamless pipes. However, due to the narrow weld width, laser cladding was used to achieve a more uniform weld structure. In addition, the welds were polished as necessary to enhance overall quality.

 

2. Results and Discussion

The mechanical properties of stainless steel welded pipes surpass those of seamless stainless steel pipes in terms of both normal and shear stress performance. However, strain rate test results indicate that although the tensile and yield strengths of seamless pipes are slightly lower than those of welded pipes, their elongation is higher. These differences arise from the distinct manufacturing processes of the two pipe types, which result in corresponding variations in their mechanical properties. Because stainless steel seamless pipes do not undergo heat treatment during production, they retain relatively low residual stress. In contrast, welded pipes undergo heat treatment, which introduces higher residual stress. Additionally, seamless pipes typically have poorer surface quality, which can adversely affect their mechanical properties. In terms of thermal conductivity, stainless steel welded and seamless pipes generally exhibit similar values, typically around 0.1 W/(m·K). However, more precise measurements at the same temperature reveal noticeable differences: the thermal conductivity of seamless pipes is approximately 0.354 W/(m·K), while that of welded pipes is about 0.286 W/(m·K). Comparative analysis indicates that stainless steel welded pipes exhibit significantly better heat transfer performance than seamless pipes. This improvement is primarily attributed to the more uniform surface roughness and wall thickness, as well as the denser internal structure of welded pipes achieved through heat treatment. This reduces surface tension and flow resistance, thereby enhancing heat exchange efficiency. In addition, welded pipes exhibit superior thermal stability compared to seamless pipes.

 

The welding process does not cause significant metal atom diffusion, effectively preventing defects like pores and cracks, thereby ensuring weld integrity and improving heat transfer efficiency. Common forms of corrosion damage in austenitic stainless steel include intergranular corrosion, pitting, and stress corrosion cracking, which predominantly occur in welds and heat-affected zones. Therefore, to ensure the welding quality of welded pipes, it is essential to evaluate the performance of the welded joints to confirm that they meet the performance standards of seamless stainless steel pipes of the same grade. Due to their lower production costs, welded pipes are well suited for applications with relatively low requirements for corrosion resistance and pressure tolerance. Heat exchangers primarily operate through convective heat transfer. When there is a temperature difference between a flowing fluid and the surface it contacts, heat exchange occurs through both conduction and convection. Convection heat transfer is highly complex and influenced by factors such as fluid generation mechanisms, flow patterns, the type and thermal properties of the medium, and the geometry and dimensions of the wall surface. Under the same operating conditions, variations in wall configurations and sizes can have a significant impact on heat transfer efficiency.

The basic formula for calculating heat transfer is given in Equation (1):

Equation (1) 

Where:

Q is the heat transfer rate (W),

K is the overall heat transfer coefficient (W/(m²·°C)),

A is the heat transfer area (m²),

ΔTlm​ is the logarithmic mean temperature difference (°C).

 

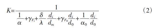
For a cylindrical tube wall, the inner-surface-based heat transfer coefficient is expressed by Equation (2):

Equation (2) 

Where:

K is the overall heat transfer coefficient (W/(m²·°C)),

αᵢ is the inner surface heat transfer coefficient (W/(m²·°C)),

R_f is the fouling resistance ((m²·°C)/W),

δ is the wall thickness (m),

λ is the thermal conductivity of the tube wall material (W/(m·°C)),

αₒ is the outer surface heat transfer coefficient (W/(m²·°C)).

 

According to Equation (2), with all other factors held constant, increasing the wall thickness (δ) reduces the overall heat transfer coefficient (K), thereby decreasing the heat transfer capacity (Q) of the heat exchanger. Therefore, provided structural integrity is maintained, reducing the wall thickness of chromium-nickel austenitic stainless steel—which inherently has low thermal conductivity—can improve heat transfer performance. Taking these factors into account, it can be concluded that stainless steel welded pipes are fully capable of replacing seamless pipes as heat exchange components, providing excellent thermal performance that meets design requirements. It is worth noting that most seamless pipes currently available on the market are manufactured by hot rolling, whereas stainless steel welded pipes are typically produced through cold drawing, resulting in certain performance differences between the two.

 

4. Economic Comparison

Economic efficiency is a crucial factor in the design and operation of heat exchangers. Calculations show that heat exchangers using welded pipes can reduce costs by over 30% compared to those using seamless pipes. This cost advantage primarily arises from the simpler manufacturing process, higher dimensional accuracy, and reduced quality control requirements of welded pipe components. Additionally, welded pipes offer good corrosion resistance and mechanical properties, helping to minimize maintenance costs and reduce replacement frequency over long-term operation, thereby improving overall cost-effectiveness. Furthermore, although the price difference between stainless steel seamless and welded pipes is relatively small, welded pipes provide distinct advantages, including shorter production cycles, smaller footprints, and higher returns on investment. Considering these factors, stainless steel welded pipes offer significant economic advantages over seamless pipes. In conclusion, stainless steel welded pipes represent a viable and cost-effective alternative to seamless pipes for heat exchange elements in heat exchanger systems. They not only meet design requirements but also reduce costs and improve operational efficiency. Looking ahead, with advancing technology and increasing market demand, stainless steel welded pipes are expected to become a preferred choice for heat exchanger applications.

 

5. Optimization Recommendations for Stainless Steel Pipes in Heat Exchangers

5.1 Welded Pipe Processing Technology

The production of stainless steel welded pipes is rapidly advancing; however, current manufacturing mainly concentrates on small-diameter industrial pipes. To meet broader application demands, it is essential to expand the supply of high-quality plates and strips, adopt advanced technologies and best practices in manufacturing, and establish comprehensive production lines for welded pipes. This will enable the production of high-performance stainless steel welded pipes capable of fully replacing seamless pipes. The combined application of welding and cold-drawing technologies in stainless steel pipe production ensures weld quality while optimizing the performance of the base material. At the same time, these approaches are recommended to reduce capital investment and enhance overall production efficiency.

 

5.2 Improvement of Heat Treatment and Finishing Processes

Whether manufacturing stainless steel pipes or welding steel pipes, advanced processing equipment should be selected and configured according to specific specifications and quality requirements. The heat treatment process for stainless steel pipes—particularly cold-drawn and cold-rolled types—differs significantly from that of conventional carbon steel and low-alloy steel. Martensitic and most ferritic stainless steel pipes require heat treatment during rolling and hot extrusion, whereas austenitic and austenitic-ferritic stainless steel pipes require solution annealing. During cold drawing and cold rolling, frequent work hardening requires softening heat treatments to restore ductility. Unlike ordinary carbon steel welded pipes, stainless steel pipes must undergo full heat treatment after welding to ensure proper microstructure and performance. Currently, domestic processes often use a sequence of “protective sleeve (muffle) chamber furnace high-temperature treatment, electric contact heating, and bottom high-temperature treatment” in circulating blast furnaces that operate without a protective atmosphere. This results in a heavy pickling load and inferior product surface quality. A more advanced approach employs continuous bright annealing using mesh belt, roller hearth, or muffle-type furnaces, combined with organic solvent degreasing. This eliminates the need for hydrofluoric-nitric acid cleaning and degreasing, thereby removing the pickling step, improving surface finish, and reducing environmental impact. Today, continuous bright annealing furnaces are widely adopted as standard equipment by leading domestic stainless steel pipe manufacturers.

 

 

6. Conclusion

In summary, stainless steel welded pipes demonstrate excellent mechanical properties throughout the operating temperature range. They withstand high pressures and displacements, fulfilling the requirements of engineering design and practical applications. Furthermore, the weldability of stainless steel welded pipes exceeds that of the base material, with welded joints exhibiting higher tensile strength, yield strength, and elongation than the parent metal. Although the thermal conductivity of stainless steel welded pipes is slightly lower than that of the base material at the same temperature, optimizing the pipe diameter can maintain heat transfer efficiency and reduce energy consumption, thereby enhancing overall economic performance. Additionally, stainless steel welded pipes have lower manufacturing costs compared to seamless pipes, and their production process is more environmentally friendly. These factors offer a significant advantage when considering welded pipes as replacements for seamless pipes in heat exchanger applications. Based on the above analysis and conclusions, stainless steel welded pipes represent a viable alternative to traditional seamless pipes as heat exchange elements, providing valuable guidance for related engineering projects.

 


Name*
E-mail*
Rate*
Comments*


About the author
Teresa
Teresa
Teresa is a skilled author specializing in industrial technical articles with over eight years of experience. She has a deep understanding of manufacturing processes, material science, and technological advancements. Her work includes detailed analyses, process optimization techniques, and quality control methods that aim to enhance production efficiency and product quality across various industries. Teresa's articles are well-researched, clear, and informative, making complex industrial concepts accessible to professionals and stakeholders.